Imagine your cupcakes were popular—and you had to triple the recipe to make enough to go around! You can use a multiplication rule, or set of instructions, to quickly figure out how much flour, sugar, and chocolate you will need.
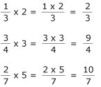
To multiply a fraction and a whole number, multiply the numerator of the fraction by the whole number. The denominator stays the same.
For example:
![]()
This rule will work anytime you multiply a fraction by a whole number.
Using this rule, answer the following question. A recipe calls for 2/3 cup of sugar, but you want to make 3 times the recipe. Describe in two to three sentences how you would figure out how much sugar you would need.
